数学公式
如果要在文章中显示数学公式,可以使用插件 hexo-filter-mathjax。
配置流程:
在 Hexo 项目根目录下安装插件 hexo-filter-mathjax。
$ cd hexo-site $ npm install hexo-filter-mathjax在 Hexo 配置文件
_config.yml最底下增加如下配置。mathjax: tags: none # or 'ams' or 'all' single_dollars: true # enable single dollar signs as in-line math delimiters cjk_width: 0.9 # relative CJK char width normal_width: 0.6 # relative normal (monospace) width append_css: true # add CSS to every page every_page: false # if true, every page will be rendered by mathjax regardless the `mathjax` setting in Front-matter of each article在文章页添加
mathjax: true属性,至此,就可以在该页面中写公式了。示例:
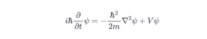
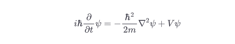
--- title: MathJax Test date: 2020-09-12 16:02:07 tags: MathJax categories: MathJax mathjax: true --- $$ i\hbar\frac{\partial}{\partial t}\psi=-\frac{\hbar^2}{2m}\nabla^2\psi+V\psi $$效果图:

最后更新于